当前位置:首页 >> 技术文件 >> 低空专栏

基于无人机协同编队控制的铁路智能巡检方法

admin 2026-02-13 低空专栏

基于无人机协同编队控制的铁路智能巡检方法

1-李浩2.jpg




李    浩

硕士,工程师

通号低空智能科技有限公司

研究方向:人工智能与云计算、无人机集群控制

低空技术成绩:带领团队开展无人系统智能控制、集群控制研究,构建无人系统无缝互联的统一数字底座,为无人系统的智能化、集群化发展提供理论与技术支撑。

邮箱:lihao6@crsc.cn

2-牛洪蛟2.jpg




牛洪蛟

博士,工程师

通号通信信息集团有限公司

研究方向:低空运载体的感知与运动控制

低空技术成绩:从事无人系统方面的研究,主要针对eVTOL等新型飞行器和无人潜航器等无人系统设计运动控制算法。

邮箱:niuhj@crsc.cn

3-李夏洋2.jpg




李夏洋

博士,高级工程师

通号低空智能科技有限公司

研究方向:无人系统集群协同控制

低空技术成绩:研究多智能体系统协同控制,对于无向、有向通讯拓扑,针对各类执行器故障,分别开展被动与主动容错跟踪、一致性控制研究,并提出相应的自适应容错控制协议,提升多智能体系统的鲁棒性与稳定性,保障系统任务执行效率。

邮箱:lixiayang@crsc.cn

微信图片_20250219091338.jpg




袁小芳

博士,教授

湖南大学教授、博导,英国肯特大学访问学者,机器人视觉感知与控制技术国家工程研究中心研究员,中国人工智能学会智能检测与运动控制专委会副主任

研究方向:无人系统、机器人驱动控制、智能自动化新技术

低空技术成绩:从事低空运载体的智能自动化工程与应用,包括分布式驱动运载体运行模式优化与整体协调控制和低空机器人运动控制等领域的研究工作。

邮箱:yuanxiaofang@hnu.edu.cn







摘要:铁路运输网络的快速发展,铁路巡检对智能化和高效性提出更高要求。提出一种基于无人机协同控制的巡检方法,旨在解决铁路安全保护区限制下的侧飞侧视探测问题。通过设计编队控制模型和优化协同算法,实现巡检任务的高精度覆盖与路径跟踪。理论建模与仿真实验验证表明,该方法在编队路径跟踪控制方面表现优异。此外,该方法具备良好的通用性,可进一步扩展至高速公路、油气输送管道等带状基础设施的巡检应用,为其智能巡检提供高效解决方案

关键词:无人机协同巡检;铁路巡检;编队控制;带状基础设施巡检;协同路径跟踪

中图分类号V279+.2;U29

文献标识码:A

文章编号:1673-4440(2025)02-0011-07

DOI:10.3969/j.issn.1673-4440.2025.02.002








基金项目:国家自然科学基金项目(62473140)

引用格式:李浩,牛洪蛟,李夏洋,等.基于无人机协同编队控制的铁路智能巡检方法[J].铁路通信信号工程技术,2025,22(2):11-17,70

Li Hao, Niu Hongjiao, Li Xiayang,et al. Intelligent Railway Inspection Method Based on UAV Cooperative Formation Control[J]. Railway Signalling & Communication Engineering, 2025, 22(2): 11-17,70..





1 概述

铁路运输的安全性至关重要,然而传统铁路巡检方式存在诸多弊端。人工巡检依赖人力,在长距离和高速铁路巡检中效率低、耗时长、难覆盖大面积区域且易遗漏隐患;机械化巡检虽有一定提升,但在特殊区域仍受限,且传统巡检成本高昂、安全性难以保障。  

随着无人机技术的发展,其在铁路巡检中展现出优势。国际上许多发达国家积极开展相关研究与应用。德国铁路公司用无人机搭载设备检测轨道和桥梁;日本实现无人机巡检数据与铁路智能系统实时交互,提升运维效率。国内也随着无人机技术成熟,铁路科研院所和高校纷纷投入研究,部分高校与铁路部门合作实地测试,一些铁路企业已试点作业,在山区铁路路段发现了人工难以检测的隐患和变形。

尽管如此,单架无人机应用受限,如电池续航、信号传输、负载能力和数据处理等,沿轨道飞行有视野盲区且数据易不连续,影响巡检可靠性。无人机协同巡检技术应运而生,在电力巡检应用广,用于铁路也有优势,但铁路领域相关研究少,深入研究应用此技术很有价值。

本文提出创新的多无人机协同巡检策略,多架无人机在线路两侧分段分区域同步巡检铁路长条区域,提升巡检范围与效率,还能按需搭载设备检测轨道、桥梁等并汇总分析数据,且借助计算机视觉等技术与铁路监测系统联动,构建智能运维体系,助推铁路智能化转型。

2 铁路安全保护区对无人机巡检的潜在限制

铁路运营中,铁路线路安全保护区是保障运输安全的关键,其范围因国家和地区而异,涵盖轨道、沿线设施及周边安全带,无人机巡检时不得进入该区域,以免影响铁路安全运营并触犯法律。

2.1 铁路安全保护区的定义和范围

根据《铁路安全管理条例》,铁路线路安全保护区的范围从铁路线路路堤坡脚、路堑坡顶或铁路桥梁外侧起,向外的距离规定如下:

城市市区:高速铁路为10 m,其他铁路为8 m;

城市郊区居民居住区:高速铁路为12 m,其他铁路为10 m;

村镇地区:高速铁路为15 m,其他铁路为12 m。

此外,对于桥梁、隧道、道岔、变电站等特殊设施,保护区的范围可能更大。这些规定旨在防止任何物体(包括建筑物、设施、人员等)进入保护区,以免对铁路设施造成潜在危险。

2.2 铁路安全保护区对无人机巡检的影响

对于执行铁路巡检任务的无人机而言,安全保护区的存在带来以下挑战。

1)保护区对无人机的飞行路径规划形成约束,限制了其飞行高度和横向移动范围,尤其在高铁线路或复杂地形中,增加了路径规划的复杂性。

2)保护区的存在可能导致巡检覆盖不足。无人机在保护区外侧飞行时难以采集轨道正面和关键部位的完整数据,容易形成盲区,影响巡检质量。

3)由于无人机无法同时覆盖轨道两侧,数据采集存在时间不同步性,影响两侧数据的对比性和轨道状态的实时评估。

总之,铁路安全保护区对无人机巡检提出了严格要求,需要在规划和执行巡检任务时充分考虑,以确保巡检的全面性和安全性。

3 多无人机协同编队技术

如图1所示,  多无人机协同编队技术是多架无人机在同一任务中信息共享、分配任务,协同飞行完成特定任务的技术。在铁路巡检时,该技术可合理分配任务与飞行路径,让无人机在铁路两侧不进安全保护区就能全方位巡检。具体来说,协同编队技术在铁路巡检中具有以下优势。





图片





1)覆盖范围广,巡检效率高。多架无人机协同飞行,不进铁路安全保护区,可同时覆盖铁路两侧或多个区域,大幅提升巡检效率、缩短任务时长。

2)避免侵入保护区,确保安全性。合理规划无人机飞行路径与编队,使其避开铁路安全保护区,可避免隐患、遵守法规。

3)增强数据采集精度。协同编队将高清摄像头、激光雷达、红外热像仪等不同传感器搭载于各无人机上,实现多维度数据采集,以全面监控铁路设施运行状况,提升巡检精度与可靠性。

4)任务分配灵活,适应复杂环境。多架无人机可依任务灵活分配,如一架查轨道结构,一架测电力或信号设备状态,这能提高巡检灵活性,在复杂环境下确保高效全面巡检。

4 协同编队中的虚拟参考路径

4.1 虚拟参考路径与自动生成

在无人机协同巡检铁路时,铁路中心线常被选作无人机编队的虚拟参考路径,因其与铁路设施紧密相连且形状明确,是最自然直接的选择。该路径作为虚拟领航者轨迹,不仅能引导无人机准确巡检,还可避免其进入铁路安全保护区,保障飞行安全。

虚拟参考路径自动生成技术实时采集与动态更新数据,较传统人工路径规划更灵活、适应性更强。精准跟踪轨迹,可解决铁路环境变化带来的巡检难题,避免人工错误,减少干预依赖,提高任务稳定性与准确性,简化复杂多变环境下执行流程,降低入侵铁路安全保护区风险。

4.2 虚拟参考路径生成方法

虚拟参考路径生成对无人机铁路协同巡检的精准高效至关重要。铁路巡检需精确路径指引确保安全和覆盖率,传统方法难适应复杂环境,高精地图与多传感融合技术为其自动生成提供高效方案,在GPS拒止环境优势显著。

高精地图作为虚拟参考路径生成的核心数据来源,提供了铁路中心线、几何特征和周边设施的精确描述。通过高精地图,可以提取铁路中心线的精确坐标、曲率变化和轨道节点分布,利用路径匹配算法动态校正无人机的位置与轨迹。

在GPS拒止环境(如隧道、森林、桥梁底部),高精地图与多传感器结合很关键。视觉识别靠摄像头获取影像,经算法提取轨道中心线并跟踪其变化;激光雷达利用三维点云数据获取轨道及周边环境信息,不受光照影响,适用于复杂环境,能实时生成三维模型精准识别中心线,在遮挡或曲率大区域比视觉识别精度和稳定性更高。

5 复杂地理环境下的协同编队

5.1 地理环境对协同编队的影响

铁路沿线两侧地理环境会影响两架协同巡检无人机的编队飞行,高山、深谷等起伏的地形容易阻断通信链路,致使信号衰减甚至丢失,而且铁路周边的电磁干扰源会扰乱通信频段,造成通信错误或延迟,影响关键信息的共享;树木、建筑物等障碍物会迫使无人机改变飞行路径,破坏编队队形;且不同区域的气象条件差异,像大雾、强风分别影响视觉传感器和飞行姿态;此外,复杂地理环境会使视觉传感器采集受限,特殊区域还会干扰 GPS 定位精度,影响无人机对自身位置及编队相对位置的判断。

5.2 解决方案

为应对这些问题,可采取措施:沿铁路设置通信中继设备,包括小型中继无人机或地面中继站,保障信号中转,同时依据电磁环境勘测结果优化通信频段,运用抗干扰协议提升通信可靠性;配备高精度地图和实时环境感知系统,实现对虚拟参考路径的动态规划,从而提前避让障碍物并在避让后能够快速恢复编队状态,合理设定无人机与障碍物之间以及两架无人机相互之间的安全距离,防止碰撞;整合多种传感器数据,当 GPS 受干扰或视觉受限,利用其他传感器补充和校正,对采集数据滤波去噪,结合地理信息校正位置估计,从而增强协同编队跟踪效果,确保在复杂地理环境下无人机编队稳定、精准地执行任务。

如图2所示,当无人机执行铁路巡检任务时,若前方出现障碍物,可通过机载检测设备感知到障碍物的存在。随后,通过调整动力输出,升高飞行高度以避开障碍物。待安全通过后,无人机再逐步降低高度,恢复到合适的巡航高度。





图片





6 无人机编队路径跟踪控制技术

6.1 无人机系统动力学模型

具有4个独立控制输入的6DOF刚体被定义为旋翼无人机的基本模型,其系统动力学如公式(1)(2)所示。  

图片

图片

其中:ge3是重力加速度,公式(1)表示惯性坐标系下的位置动力学,公式(2)表示固定体坐标系下的姿态动力学。公式符号以及对应的说明如表1所示。





图片





在实际应用中,通过控制旋翼转动角速度ω=[ω1ω2ω3ω4 ]T产生控制力f和控制力矩τ=[τxτyτz ]T;针对一般的四旋翼无人机,控制力和控制力矩与旋翼转动角速度之间存在一一映射关系,如公式(3)所示。

图片

其中,kTkM是升力系数,与旋翼的气动特性有关;d是旋翼到无人机质心的距离。

从数学的角度讲,Re3f是位置循环和姿态循环之间的一个耦合项。Re3fFv3表示空间惯性坐标系下控制力,iFv=Fv / ‖Fv‖∈S²表示位置控制力方向的单位向量,其也是固定在机体坐标系中z坐标轴;iFv导致所谓的耦合姿态Rc,其中Rc=[b1c  b2c  iFv]。

与虚拟参考路径重合的虚拟领航者无人机对应的系统动力学方程如公式(4)(5)所示。

图片

b1d ,b2d ,b3d ,∈ ℝ3是期望的固定框架的基向量,并且期望的姿态也可以表示为Rc=[b1c  b2c  b3c]。vd,Ωd∈ℝ3是期望的平移速度和旋转速度。fd,τd∈ℝ3分别表示所需的力和力矩。

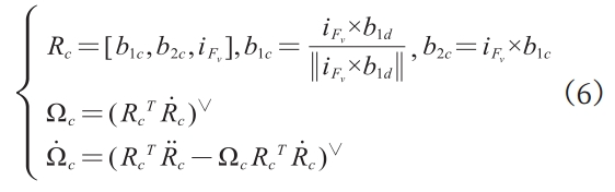
为了实现轨迹跟踪任务,引入了耦合姿态系统,如公式(6)所示。

图片

6.2 无人机编队误差系统动力学

位置的跟踪误差和平移速度跟踪误差表示如公式(7)所示。

图片

其中,rf为常值表示编队中无人机与虚拟领航者无人机之间的相对位置,姿态环上的跟踪误差定义如公式(8)所示。

图片

整个跟踪误差系统的动力学方程如公式(9)(10)所示。

图片

其中,Fv=Rce3f作为虚拟控制力,δc=(RcRe3f被看作是满足Lipschitz条件的有界扰动。

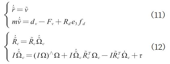
为方便给出所需的控制律,通过引入无扰动δc的跟踪误差系统,如公式(11)(12)所示。

图片

6.3 无人机编队控制律设计

由于滑模控制技术良好的抗干扰性能和鲁棒性,采用滑模控制律实现位置跟踪控制。下面给出一种无抖振的位置跟踪滑模控制律,如公式(13)所示。

图片

其中,图片图片,sign(·)是符号函数,图片是光滑的滑模面,图片,Γ=[Γ1 ,Γ2 ,Γ3],Γd=diagΓ),1<Γi<2,是滑模面的参数,kv1diag([kv11kv12kv13])>0,kv2diag([kv21kv22kv23])>0,0<ρ<1均是控制增益参数。

在SO(3)流行上引入Morse函数来度量该流行上两点之间的距离,如公式(14)所示。

图片

则该Morse对应的梯度如公式(15)所示。

图片

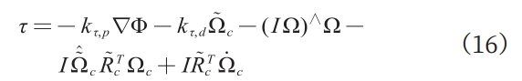
对于姿态跟踪误差系统,引入姿态跟踪控制力矩,如公式(16)所示。

图片

kτ,pkτ,d>0是控制增益,图片是定义在SO(3)流行上的梯度,图片∈SO(3)。

6.4 仿真结果

基于上述编队控制律,给出两架次无人机协同编队跟踪控制的仿真结果。为了验证编队跟踪控制的有效性,将无人机的运动轨迹选为曲线,分别考虑较大转弯半径(小曲率)、较小转弯半径(大曲率)。具体而言,无人机的相对位置分别为rf=[-6 -6 0]Trf=[-2 -2 0]T时,仿真结果如图3、4所示。从图 3 可见,在较大转弯半径下,无人机编队稳定,表明该场景下编队控制律能有效引导无人机精准协同编队飞行。从图 4 可知,较小转弯半径的极限情况下,无人机编队结构完整,证明编队控制策略鲁棒性强,能在极端条件下保证编队基本性能。





图片









图片





7 结语

本文针对铁路巡检任务的复杂性,提出了一种基于无人机协同编队控制的巡检方法。通过设计和优化无人机协同控制算法,解决了铁路安全保护区限制下的侧飞侧视巡检问题,实现对铁路设施的高效、精准巡检。该方法不仅能有效规避传统巡检模式中覆盖不足和数据采集不同步的问题,也能显著提升巡检任务的自动化与智能化水平。该方案具有良好的通用性和可扩展性,未来可广泛应用于高速公路、油气输送管道等带状基础设施的巡检任务。