当前位置:首页 >> 技术文件 >> 低空专栏

面向铁路巡检的低空无人机智能感知与精密定位研究

admin 2026-02-13 低空专栏

面向铁路巡检的低空无人机智能感知与精密定位研究

图片




蔡伯根

博士,教授

北京交通大学自动化与智能学院院长

研究方向:轨道交通感知与定位、人工智能

低空技术成绩:带领团队开展无人系统高精度导航与定位、多传感器技术在低空无人机铁路巡检场景应用等研究,实现低空技术在铁路行业的创新应用。

邮箱:bgcai@bjtu.edu.cn

图片




李智宇

博士,正高级工程师

中南大学兼职教授、博导,通号低空智能科技有限公司副总经理,云南省低空经济和空天产业战略咨询专家委员会专家、雄安新区安新县低空经济融合示范区特聘专家

研究方向:低空通信与感知技术、列控系统关键技术与装备研制

低空技术成绩:带领团队研究低空通信、感知与无人机管控技术,重点在“一塔一城”通信方案方面开展研究,确保低空领域的全域安全和高效融合运行。

邮箱:13001097666@163.com

图片




王    剑

博士,教授

北京交通大学研究生院副院长

研究方向:铁路卫星定位

低空技术成绩:带领团队主要研究融合卫星导航、惯性导航、视觉传感器的多传感器载体自主定位与导航技术,实现无人机的高精度自主飞行。

邮箱:wangj@bjtu.edu.cn

图片



刘    丹
博士,工程师

通号低空智能科技有限公司

研究方向:多传感器组合定位、卫星列车自主定位

低空技术成绩:研究5G、低轨卫星通信增强下的卫星定位技术,为低空无人机提供精确的状态信息,支持未来低空智联网中卫星通导一体化、基站通感一体化的实现。

邮箱: liudan5@crsc.cn 

图片



姜    维
博士,教授

北京交通大学自动化与智能学院

研究方向:高精度卫星导航与定位、视觉智能感知与定位、多模态自主感知与定位

低空技术成绩:提出北斗/GPS多星座精密定位方法、5G/GNSS组合定位方法、视觉辅助的卫星导航/惯性导航多传感器自主定位方法,实现低空无人机高精度自主感知与定位,为无人机执行任务提供高质量的导航信息

邮箱:weijiang@bjtu.edu.cn  



赵珈琪:本科,北京交通大学自动化与智能学院,研究方向:计算机视觉感知与检测,在低空方面,主要研究深度估计和目标检测算法。邮箱:21271139@bjtu.edu.cn。


王啸阳:博士,高级工程师,通号低空智能科技有限公司通信事业部总经理,研究方向:低空通信、轨道交通通信。在低空领域,作为公司通信方向负责人,带领团队构建了低成本广覆盖的低空通信解决方案,持续开展低空智能通信系统关键技术及装备研制,为低空经济通信关键基础设施的建设提供了重要技术和装备支持。邮箱:wangxiaoyang@crsc.cn。


刘   江:博士,教授,北京交通大学自动化与智能学院,研究方向:卫星导航干扰检测与防御、交通系统感知与大数据。在低空领域方面,研究卫星信号干扰检测技术,为无人机提供可靠的感知与定位信息。邮箱:jiangliu@bjtu.edu.cn。


陆德彪:博士,教授,北京交通大学自动化与智能学院,研究方向:卫星导航信号仿真与测试、系统可靠性与安全性。在低空领域,开展卫星导航无人系统的可靠性与安全性研究,保证无人机执行任务的安全性。邮箱:debiao.lu@bjtu.edu.cn 。






摘要:铁路巡检作为“低空+轨道”的典型应用场景之一,采用低空无人机巡检辅助或代替人工巡检,在提高巡检效率同时,可以降低巡检成本和巡检人员的事故发生率。调研国内外铁路无人机巡检技术与应用现状,指出当前存在的空-地巡检模式下无人机智能感知、“高密度短间隔”场景无人机精密定位、无人机感知与定位如何协同等问题。针对上述问题,研究融合视觉和激光雷达的低空无人机多模态智能感知技术,与组合高精度卫星导航、惯性导航、UWB和5G的多传感器精密定位技术,提升低空无人机的铁路综合巡检性能。基于两项关键技术,设计一种协同智能感知与精密定位的低空铁路无人机巡检方案,为未来铁路领域的低空无人机巡检推广应用提供支撑

关键词:铁路巡检;低空无人机;多模态智能感知;精密定位

中图分类号V279+.2; U284

文献标识码:A

文章编号:1673-4440(2025)01-0001-12

DOI:10.3969/j.issn.1673-4440.2025.01.001








基金项目:国家重点研发计划资助项目(2022YFB4300501)

引用格式:蔡伯根,李智宇,王剑,等.面向铁路巡检的低空无人机智能感知与精密定位研究[J].铁路通信信号工程技术,2025,22(1): 1-9. 

Cai Baigen, Li Zhiyu, Wang Jian, et al. Research on Intelligent Sensing and Precise Positioning of Low-Altitude UAV For Railway Inspection[J]. Railway Signalling & Communication Engineering, 2025, 22(1): 1-9.





低空经济具体指以真高3 000 m以下的低空空域为依托,以各种有人和无人驾驶航空器的低空飞行活动为牵引,辐射带动相关领域融合发展的综合经济形态,具有产业链长、技术资金密集度高、服务领域广和带动作用强等特点。2021年2月,低空经济写入《国家综合立体交通网规划纲要》。2023年12月,中央经济工作会提议“打造生物制造、商业航天、低空经济等若干战略性新兴产业”。2024年3月全国两会指出“积极打造生物制造、商业航天、低空经济等新增长引擎”。党的二十届三中全会《决定》提出“发展通用航空和低空经济”。在一系列政策推动之下,低空经济提升至国家战略性新兴产业高度,成为新质生产力的典型代表。

低空经济应用场景是驱动低空经济发展的主要引擎。各地政府陆续出台的低空经济相关政策,均强调要加速拓展低空经济场景。中国航空学会广泛征集低空经济应用场景案例,形成《2024低空经济场景白皮书(1.0)》(以下简称“白皮书”)。白皮书指出,低空经济场景是指低空领域新技术、新载运装备、新商业模式实际的具体情境和环境,依靠精准定位、自主避障、低空感知、智能调度和图像与识别技术等低空关键技术,提高生产与作业效率,降低人力与物力成本,改善生活品质。未来,“低空+”将助力智慧交通、物流配送、城市治理、应急救援等不同应用场景,形成广域互联、泛在感知、智能控制、安全可靠的低空应用发展新格局。

铁路是国家综合立体交通网的主干,是国家重要基础设施、国民经济大动脉。《“十四五”现代综合交通运输体系发展规划》提出,到2025年,全国铁路运营里程将达到16.5万km,其中高铁营业里程将达到5万km。随着铁路规模的快速扩张和铁路运输需求的飞速增长,列车运行间隔不断缩小,铁路安全压力激增,需要通过高效率、高质量、高安全的铁路基础设施及沿线周边外部环境日常巡检,支撑与保障铁路线路运行安全。根据《铁路安全管理条例》《铁路路基大维修规则》《高速铁路桥隧建筑物维修规则》等规定,铁路巡检任务通常包括铁路基础设施巡检和铁路沿线周边外部环境巡检,需要按照一定频次进行定期巡检。

铁路基础设施巡检主要包括铁路桥梁、铁路隧道、护坡、轨道线路、声屏障、涵洞、站场和供电设备等巡检内容。桥梁巡检内容主要为桥墩与周边设施的裂纹及破坏、螺栓缺失与锈蚀、钢板锈蚀等。轨道巡检内容包含钢轨裂纹、轨道锁扣松动、轨面轮廓磨损、轨道弓面尺寸变化、路基断裂、接触网以及立柱异物入侵等,需要对铁轨进行定期巡检,扫除安全隐患。声屏障巡检内容包括螺栓缺失、松动与锈蚀,立柱、砂浆层的裂纹与错位等。涵洞巡检内容主要有涵身破损、洞口堵塞、排水沟堵塞、栅栏破损和护坡开裂等。隧道巡检内容主要包括拱墙、排水设施、洞口的开裂、掉块、移动,盖板缺失与破损,沟槽结构破损、水沟堵塞,混凝土蜂窝面开裂与剥离等。供电设备巡检包括接触网支持设备紧固件缺陷(螺丝缺失,开口销损坏等)、接触网螺母及开口销状态等。

铁路沿线周边外部环境巡检主要包括边坡防护设备状态、铁路周边环境及地质灾害隐患等巡检对象,具体巡检任务包括周边防护栅栏缺损、挡墙破损情况、废旧钢轨、彩钢瓦、农用薄膜、塑料大棚、广告牌、树木等周边环境隐患。

铁路巡检具有巡检范围广、巡检类型繁杂、巡检工作量大等特点。传统人工巡检方法,一方面巡检方式单一、巡检效率低、巡检人员安全难以保证。部分设施和沿线周边巡检人员难以到达,存在检测盲区,巡检质量难以保证,另一方面,各路局现场作业人员数量逐年减少导致巡检人员不足,同与日俱增的巡检工作量存在冲突。因此,需要研究一种高效、安全的无人系统铁路巡检方式,在配合人工巡检提高巡检效率的同时,也可以代替巡检人员完成检测盲区以及高危场景的巡检作业,满足铁路巡检需求。

铁路巡检作为低空经济的典型应用场景之一,为“低空+轨道”新模式的加速布局提供了场景与应用支撑。低空无人机铁路具有作业灵活、作业范围广、安全风险低、效率高和成本低等优点,为铁路基础设施及周边环境高效巡检提供了新手段。发展低空无人机铁路巡检技术是提高巡检效率与质量、保障线路运行安全的重要手段。

1 低空无人机铁路巡检技术应用现状分析

当前,既有低空无人机铁路巡检研究,侧重于采用商用无人机实现低空无人机在铁路巡检的应用,主要面向铁路基础设施和铁路沿线周边外部环境开展巡检任务。

1.1 低空无人机铁路巡检现状

目前,已有国内外学者和团队围绕铁路基础设施和铁路沿线周边外部环境,采用加速度、速度等机械传感器,红外、可见光等辐射传感器,相机、LiDAR等非接触传感器,开展低空无人机铁路巡检研究。

国外在铁路基础设施巡检应用方面,Butt 等提出基于卫星导航模块、磁力计、加速度和陀螺仪等多种传感器自主导航的低空无人机,采用相机和LiDAR用于铁路基础设施巡检。Aela 等详细总结了基于视觉、LiDAR、红外热成像等传感器的低空无人机,在铁路轨道、隧道和桥梁监测与巡检方面的应用,指出未来铁路低空无人机巡检需要更高水平的传感器以及智能算法,真正实现铁路精密巡检。Flammini等提出可以通过集成不同的传感器构建专用于铁路巡检的低空无人机。Singh 等提出了在低空无人机图像中采用基于YOLO v4算法的目标检测方法检测铁路轨枕

在国内,李瑞等提出了一种专用于重载铁路基础设施的无人机智能巡检系统,可执行轨面破损、扣件断裂、螺母松动、钢轨磨损等巡检任务,同时支持巡检航线精细化设计。Yunpeng等提出一种基于无人机视觉检测的轨道表面检测与巡检方法,检测性能大幅改善。赵强等借助无人机搭载高精度传感器,提出了一种基于3D GIS和北斗高精度定位的无人机铁路智能巡检技术,实现对铁路线路的高效、精确巡检。王志鹏等利用无人机搭载高精度雷达,提出一种面向铁路无人机巡检的大范围点云配准方法,具有极高的配准成功率,显著提升了无人机在铁路巡检中的应用价值。赵宇杰等提出了一种5G网络环境下的高速铁路轨道无人机巡检方案,提高铁路巡检效率。马学志等采用无人机搭载惯性测量单元、气压计和相机等传感器,设计了一种适用于铁路混凝土桥梁表面灾害检测的无人机巡检系统,可检测并识别宽度0.2 mm裂缝等细小病害。袁磊等针对桥梁无人机巡检成果量化识别困难问题,研究了无人机摄影测量技术在铁路桥梁巡检中的应用,无人机搭载高清相机实现桥梁结构的高精度识别。王泉东等基于无人机、实时动态测量仪、云台、相机等设备,研究了面向铁路巡检的无人机飞行路径规划方法,可以满足桥梁、悬崖等特殊环境下的铁路线路自动巡检。秦暄阳等总结了国内外铁路巡检无人机应用现状,通过无人机搭载激光雷达、3D激光扫描仪、视觉、GNSS-RTK、惯性导航等外部传感器,实现铁路线路设备、桥梁隧道混凝土裂缝、接触网、路外环境等巡检作业,在减少巡检人员危险作业的同时提高巡检效率。

铁路沿线周边外部环境巡检应用方面,Cao等总结了基于机器视觉的无人机铁路入侵检测研究现状,强调目前大部分方法基于单一的监测相机视觉传感器检测铁路入侵,需要引入机器视觉、LiDAR、频谱相机等多种传感器提升监测性能,同时指出未来铁路低空无人机巡检需要解决云-边-端协同、空-车-地协同、多传感器融合、多方式融合、小目标检测和图像增强等问题。冯耀等结合无人机技术、目标检测技术、计算机技术,研究了基于无人机平台的铁路运维环境智能监测技术,实现对彩钢瓦、防尘网、塑料膜等典型病灾的快速自动巡检,使铁路运维效率提高150%。魏培勇等提出了基于无人机倾斜摄影技术的铁路工务无人机巡检方案,并在沿线周边环境隐患排查、隧道进出口仰坡地灾评估、桥梁基础冲刷水害评估等场景下进行了应用验证。

综上所述,铁路无人机巡检主要包括感知与定位环节。感知环节,主要利用视觉和激光雷达等感知传感器,对铁路基础设施表面及配件缺陷智能感知、识别与检测,确定巡检内容和异常类型。定位环节,主要利用卫星导航、惯性导航等定位手段或传感器实现精密定位,一方面给出检测的巡检异常在铁路中的具体位置,另一方面用于无人机巡检中的精密航线规划,支持精密巡检需求。因此,铁路巡检通常需要同时搭载感知传感器和定位传感器。

此外,铁路巡检场景和巡检任务繁杂,单一的传感器无法满足所有场景或同一场景的不同巡检任务,需要不同传感器组合完成巡检任务。铁路不同巡检场景与巡检任务的侧重点不同,传感器优先级和性能侧重点不同。例如,在感知方面,桥梁巡检更侧重于对桥梁钢体结构形态和结构变形的检测,轨道巡检重点是轨道几何形状,这两种场景形变与位移检测优先,表面缺陷识别次之,可以利用高性能的激光雷达进行高精度位移与形变监测,视觉传感器配合完成桥梁螺栓缺失及锈蚀、轨道表面微小缺陷的检测等。声屏障巡检关注声屏障的外观完整性,涵洞巡检注重内部结构病害和排水功能的检测,供电设备巡检主要是对电气设备的运行状态和供电线路的检测,这三种巡检场景设备表面缺陷识别优先,形变与位移检测次之,需要利用高性能长焦可见光相机与红外相机进行缺陷精确识别,激光雷达可以配合完成形变监测或者异物入侵等。在定位方面,在卫星开阔场景和短暂受限或干扰场景下,卫星导航/惯性导航组合定位系统基本能满足米级的无人机铁路巡检定位要求;对于声屏障、涵洞进出口、隧道进出口巡检,可以利用既有的地理空间信息辅助卫星导航/惯性导航定位;针对轨道巡检,由于轨道线性分布,卫星导航/惯性导航结合视觉里程计可以实现无人机沿轨道的高精度巡检;针对桥梁下方、隧道与涵洞内部等卫星完全遮挡区,超宽带定位系统可以辅助惯性导航实现连续巡检要求;针对供电设备巡检,在接触网等精细巡检区域,视觉里程计/卫星导航/超宽带定位系统组合可实现高精度巡检。目前,专用于铁路巡检的低空无人机技术研究尚处于起步阶段。

1.2 低空无人机铁路巡检存在问题

低空无人机铁路巡检需要同时考虑铁路地面和低空空中的空间环境特征,总结低空无人机铁路巡检目前存在以下问题。

1)空-地巡检模式下既有感知方式性能有限。根据铁路安全管理要求,无人机需在距离轨道一定高度从空中对轨面、道岔等设备巡检,精准检测、识别异常并准确回传异常位置。在空-地模式的无人机铁路巡检中,传统的近距离非接触式感知方法无法满足铁路巡检需求。

2)低空“高密度短间隔”场景的无人机精密定位。未来低空空域多元异构多架无人机高密度短间隔飞行,同一路线或同一铁路网由多架无人机同时巡检,分米或厘米级的高精度定位技术是保证无人机安全高效执行巡检任务的关键技术之一。

3)无人机感知与定位协同。目前,低空无人机铁路巡检应用中感知与定位相对独立,感知与定位使用的传感器类型不同,执行任务也不同。感知信息也可用于辅助定位,定位结果也可作用感知过程提升感知性能,实现定位与感知协同,优化巡检性能。

通过以上分析,目前铁路无人机巡检需通过无人机搭载各种感知与定位传感器,协同感知与定位技术,在距离线路百米级距离外实现厘米级感知、探测、识别与分辨,完成复杂场景下的无人机厘米级或分米级定位,支撑铁路巡检。因此,本文聚焦无人机多模态自主感知与多传感器高精度组合定位技术研究,提升铁路无人机巡检性能。

2 低空无人机多模态智能感知与精密定位技术

2.1 多模态智能感知与信息融合技术

单一的感知方式难以满足低空无人机在执行铁路巡检任务时的多样化需求。多模态感知为低空经济无人机领域的核心技术之一,通过采用视觉、红外传感器、雷达和激光雷达等不同传感器的数据源,克服单一传感器在特定环境下的局限性,实现对铁路基础设施与周围环境位置空间状态信息的全方位、多类型、多层级感知。

多模态信息融合技术是低空无人机多模态感知的核心,将立体相机的深度信息、激光雷达的立体信息、红外相机的热成像以及音频捕捉等不同类型传感器捕获的位置空间状态信息按照需求进行不同程度的融合,提高无人机场景识别和目标跟踪能力,适用于目标检测和无人机自主定位应用。

铁路巡检目标检测应用中,一种基于雷达/激光雷达/视觉的低空无人机多模态信息融合原理如图1所示。感知单元中不同传感器获取检测目标点云数据,特征提取单元从多模态数据中提取环境及目标的3D、2D特征,构成丰富的信息基础。数据融合单元将不同模态的特征进行整合,获得更为鲁棒和全面的信息表示,提升系统的感知和决策能力,通过时空对齐,确保数据在空间上的一致性。





图片





2.1.1 多模态数据标定

在多模态信息融合过程中,传感器不同,导致工作原理、测量范围和精度亦存在差异,直接融合会面临数据时序同步不一致、数据质量差异较大以及特定数据源对信息融合结果的权重难以合理分配等问题,影响感知算法的鲁棒性和融合结果的准确性。

低空无人机多模态智能感知技术中,标定是实现各类传感信息融合的关键环节。数据标定通过统一时间对齐和数据清洗等技术手段,建立不同传感器与环境之间的精确转换关系。一方面可以补偿传感器误差,有效提升多模态数据质量,动态调整不同数据源的权重,确保多模态数据的一致性和准确性。另一方面可以建立传感器之间、传感器与外部环境之间的相对位置和姿态精确关系,提高信息融合效果,为高精度感知和定位提供数据保证。

基于激光雷达和双目相机的低空无人机多模态数据标定,包括数据处理、特征匹配及性能优化的3个主要处理环节,具体流程如图2所示。首先,针对激光雷达和双目相机等多模态传感信息进行数据收集与处理,经过点云处理和立体视觉匹配后,进入特征匹配阶段。然后采用点云配准、深度学习配准及算法引导的基准模型匹配,经性能优化决策最终实现数据的时间同步与匹配。





图片





标定过程中,由于不同传感器的采样频率和数据格式存在差异,如何实现数据的同步采集和处理是关键。多个传感器同时工作时,可能会产生相互干扰或遮挡,导致数据不完整或误差增大。因此需要进行一系列性能优化措施,如计算效率优化、隐藏点移除、时间同步、外部源对齐及抽帧匹配等,确保系统整体的高效运行与优化,体现了智能视觉系统中数据处理与优化的集成策略。

2.1.2 目标识别与深度感知

随着低空无人机多模态智能感知技术与视觉语言大模型技术的深度融合,铁路巡检中目标智能识别和检测模式正在发生根本性变化。低空无人机多模态数据目标识别与深度感知流程如图3所示。





图片





图像识别模块中,视觉语言大模型以其强大的自然语言处理能力和集中判图能力,能够支持低空无人机在边端实现对铁路轨道及其周边环境的精准特征识别,可以快速识别轨道上的障碍物和异常情况。零样本学习使得无人机能够在不依赖大量标注数据的情况下,实现对新类别目标的识别。跨模态学习和迁移学习能够通过多种模态、场景的信息互补,增强模型的鲁棒性和泛化能力,在不同复杂的铁路环境中,具有较好的适应能力。图像识别模块能够实时获取铁路线的运行情况,准确判断关键设施和设备的状态,为铁路巡检提供准确的目标识别结果。

深度感知模块中,通过采用深度计算(Raft-Stereo)和稀疏深度补全(SparseDC)等技术,可以获取高精度的轨道深度图,使用Depth Pro等深度估计算法、更轻便的感知设备,可以进一步提升深度感知信息的准确性和丰富性。

在目标识别与深度感知的结合中,语义信息与几何信息的融合起到了关键作用。语义信息提供了场景中的物体类别及其属性,而几何信息则揭示了物体的空间位置和形状。通过构建场景结构,将卷积神经网络提取的语义特征与深度信息进行有效融合,可以显著提升视觉感知的鲁棒性和准确性。这种跨模态的融合策略不仅增强了系统在复杂环境下的适应能力,还为铁路的智能化运行管理提供了更为可靠的技术支持。

2.2 多源融合精密定位

为了精准获取无人机运行状态(位置、速度、姿态)信息,优化巡检规划,提升巡检质量,从多种传感器技术入手,阐述了全球卫星定位系统 (Global Navigation Satellite System, GNSS)、惯性导航系统 (Inertial Navigation System, INS) 以及其他测距系统等传感器的特性,设计了一种基于滤波的多源融合定位方案,实现复杂场景下的高精度无人机定位导航服务。

2.2.1 定位技术

1)全球卫星导航系统

目前,GNSS的高精度定位技术主要以实时动态差分 (Rreal-Time Kinematic, RTK) 和精密单点定位 (Precise Point Positioning, PPP) 为代表。RTK技术具有高精度、快速收敛和良好的动态性能,但其应用受到基线长度、网络条件等因素的限制,且成本相对较高。相比之下,PPP技术无需布设大量基站,依托高精度载波相位观测值和精密GNSS产品,能够实现单接收机的高精度定位,成为无差分环境下的优先选择。目前,北斗系统的精密单点定位服务通过三颗地球同步轨道(GEO)卫星播发的PPP-B2b信号提供支持。其基本流程如图4所示。





图片





基于PPP-B2b改正数,并结合CNAV1导航电文,对卫星的实时轨道和钟差进行修正,生成精密轨道和钟差信息。同时,针对电离层、对流层、相对论效应、地球自转效应、潮汐影响以及接收机钟差等参数进行改正,并对模糊度参数进行整数或浮点固定处理,从而实现无人机的精密定位。为消除电离层和接收机相关误差项影响,载波相位图片与伪距率图片的单差(Single-Differenced,SD)无电离层 (Ionospheric-Free,IF)观测方程如公式(1)(2)所示。

图片

其中,i是第i颗卫星;m是参考卫星;其高度角最高,Δrim是参考卫星与其他卫星的星地距离之差;Δdtim是星钟之差;图片是对流层延迟之差;图片的是载波相位模糊度。

2)惯性导航系统

INS由惯性测量单元(Inertial Measurement Unit,IMU)与惯性导航算法两部分组成。IMU包含内置的三轴陀螺仪和加速度计,可提供高频率测量信息,并通过机械编排实现基于已知初始状态的位速姿全状态递推,为低空技术的连续状态感知提供支撑。因此,为实现融合低空技术的惯性导航系统精度保持与连续感知,需从IMU初始标定、机械编排、误差建模3方面进行精密建模,从而保障融合低空技术的惯性导航系统在轨道交通领域的广泛应用。具体思路如图5所示。





图片





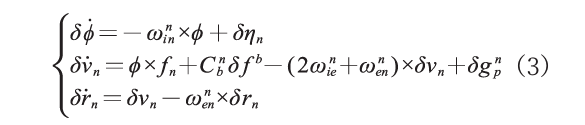
惯性导航系统误差建模利用捷联惯导(Strap-down Inertial Navigation System,SINS)误差模型构建,其误差模型如公式(3)所示。

图片

其中:下角标ineb分别代表惯性坐标系、导航坐标系、地心-地固坐标系和载体坐标系,图片为INS惯导递推的姿态、速度、位置误差矢量;δ为相对应状态的误差;图片为地球自转角速度在导航坐标系下投影的角速度矢量;图片为导航坐标系相对地球运动时产生的绕当地导航系各轴向的转动角速度矢量;图片为导航坐标系相对惯性坐标系的转动角速度矢量;δηnδf b为陀螺仪和加速度计误差;gn为导航载体导航坐标系重力加速度。

综上所述,在完成惯性单元标定后,确定其机械编排并完成其误差传递规律,最终构建误差模型。然而,由于递推误差会迅速积累,单纯依靠惯性导航技术难以实现准确的导航和定位。因此,为提升惯性导航系统的精度保持能力与低空技术的适配性,依据惯性系统误差模型,将INS作为核心模块,选择GNSS、超宽带 (Ultra-Wide Band, UWB) 等传感器协同工作,组成定位与定向系统,提供更为可靠的位置、方向和速度信息,降低在短时期内面临GNSS信号挑战的风险。

3)其他定位技术

当前,UWB定位技术和5G定位技术作为新兴的定位方式,正受到广泛关注并被广泛应用于多个领域。UWB技术通过发射超宽带信号脉冲,实现厘米级精度定位,具备实时性、低功耗和高安全性的特点,但其应用范围和成本问题仍待优化。5G定位技术则依托5G网络的大带宽和多天线特性,提供高精度定位服务,但面临数据保密性、流程复杂性和基站部署成本等挑战。在两者进行定位的过程中,基站布局与多径效应对于定位结果都有着不同程度的影响,为了满足不同应用场景的需求,通常需要在关键环节进行特定优化从而改善定位效果。定位过程实施关键环节如图6所示。





图片





基于不同应用场景对基站选址分布进行合理选取,实现对系统初始部署的优化;同时通过采集数据的分析与额外信息源降低传播过程中多径效应对于定位结果的影响,从而实现定位效果改善。

2.2.2   多传感器组合精密定位

本文采用非线性的扩展卡尔曼滤波 (extended Kalman filter, EKF) 融合GNSS原始载波相位量测、INS和UWB、5G等测距系统的原始量测信息,进行准确、稳健的状态估计。由此所建立的多源融合滤波基本框架如图7所示。





图片





多源融合定位滤波框架以INS为中心,在GNSS/INS组合导航的基础上,加入UWB、5G等测距传感器进行增强。系统初始化部分通过动态对准获得INS初始姿态,而后IMU数据用于预测INS在最新时刻下的状态(位置、速度等)。结合GNSS星历和其他测距传感器位置信息,由预测的INS位置信息反算出其他传感器的观测值。在原始数据层面将GNSS载波相位与伪距率观测值、INS反算的观测值以及其他测距传感器观测值进行融合,通过滤波的量测更新抑制INS误差累积,获得稳定的导航输出。其他传感器的测距信息给予了高精度定位冗余观测,对于城市峡谷、隧道以及林荫道等GNSS信号遮蔽严重的场景,通过冗余的测距信息可以增强定位,避免长时间处于拒止环境中导致定位结果退化。

3 协同智能感知与精密定位的低空铁路无人机巡检方案

低空铁路无人机巡检过程中,智能感知与精密定位技术在单独发挥作用时,两种技术可以协同作用,优势互补。智能感知技术也可以解算目标检测物的空间位置,作为精密定位技术的量测输入,为精密定位提供更多的量测信息,增强无人机的自主定位性能。同时,优化后的无人机定位结果也可以反馈于感知过程,为无人机提供更精确的巡检范围,进一步提高巡检效率和巡检精密性。

本文提出一种协同智能感知与精密定位的低空铁路无人机巡检方案,如图8所示。低空铁路无人机巡检方案由地面数据处理中心子系统、数据传输子系统、协同智能感知与精密定位子系统组成。





图片





地面数据处理中心子系统参与整个无人机巡检过程。提前存储无人机巡检需要的巡检范围、巡检设备(隧道、桥梁、接触网等)、预设航线信息的巡检预设信息,在无人机收到巡检任务请求时,预设信息通过数据传输子系统上传至无人机协同智能感知与精密定位子系统,作为无人机执行巡检任务的参考信息。在巡检过程中,地面数据处理中心子系统通过数据传输子系统实时接收无人机回传的感知与定位数据,根据巡检需求,实时或者后处理进行感知与定位结果分析,并给出对应的巡检日志。

数据传输子系统主要用于无人机与地面的巡检数据信息传输。专用于铁路巡检的无人机飞行高度通常不超过120 m,公网可以覆盖,因此,本方案中优先采用4G/5G公网进行上/下行巡检数据传输。若无人机飞行高度超过120 m,公网覆盖性能受限,可以在垂直方向进行地面公网、空中专网和天上星网组网,构建空天地一体的数据传输网络,实现低空空域网络全高程、全范围覆盖,支持巡检过程中无人机远距离数据回传。

协同智能感知与精密定位子系统是低空铁路无人机巡检方案中的核心组成,由智能感知模块、精密定位模块、协同处理模块共同构成。该子系统中智能感知模块采集轨道障碍物、轨旁环境信息和轨道形变与裂纹等原始巡检数据,用于目标检测与识别,精密定位模块实时计算无人机的位置、速度与姿态等状态信息,保证无人机按照地面数据处理中心子系统上传的预设航线执行巡检任务。智能感知模块与精密定位模块可以单独输出各自的处理数据,直接回传至地面处理中心子系统,也可以作为协同处理模块的输入,通过感知数据与定位数据紧密耦合,实现感知性能与定位性能的同时优化,优化后的感知与定位数据同样通过数据传输子系统回传至地面数据处理中心,用于后续巡检日志生成。

4 结论

低空经济的快速发展,推动了低空领域无人机技术在铁路领域的应用示范。铁路巡检承担着重要的铁路安全责任,因此,文本研究面向铁路巡检应用场景的低空无人机关键技术,旨在提高无人机巡检效率和综合巡检性能。总结分析了国内外铁路无人机巡检技术研究与应用现状,并针对性指出了当前存在的问题,研究了低空无人机中的多模态智能感知技术和多传感器精密定位技术,设计了一种协同智能感知与精密定位的低空铁路无人机巡检方案,可以用于铁路的巡检实际应用。